游戏体验才是关键!研究表明游戏时长与幸福感弱相关

发布时间:2026-04-12 02:45:03

Nature Portfolio于8月26日公布了一篇题为《COVID-19大流行期间的电子游戏游玩与幸福感》(《Video game play and well-being during the COVID-19 pandemic》)的论文。论文由波兰亚当·密茨凯维奇大学的Łukasz D. Kaczmarek等人撰写,分析了游戏游玩时间与心理状态之间的关联。

游戏体验才是关键!研究表明游戏时长与幸福感弱相关

论文背景是2020年开始的全球疫情下,人们为度过“宅家”时期而游玩电子游戏。然而,人们也担忧游戏时间增加可能对心理健康产生负面影响。因此,该团队通过整合分析验证大流行期间游戏时间变化与心理健康指标关联的现有研究,进行了一项元分析,旨在探究大流行前后游戏时间的变化,以及游戏时间对心理健康产生的积极或消极影响之间的关系。

游戏体验才是关键!研究表明游戏时长与幸福感弱相关

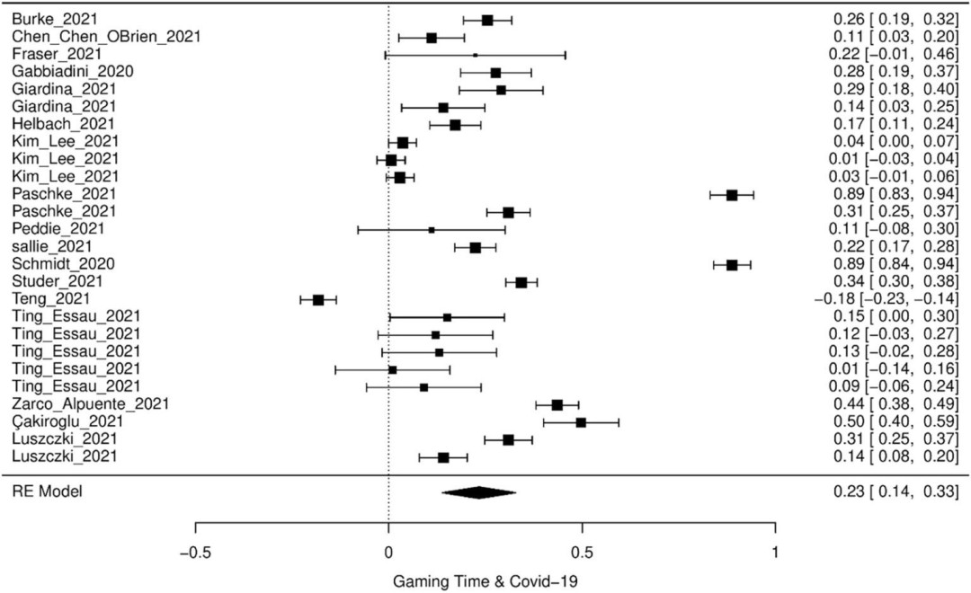
论文列出的疫情前后游戏时间变化的森林图

该团队得出的结论是:“游戏游玩时间”虽略有增加,但并未发现“这种微增对心理健康改善”有明确的变化或关联。尽管先前的问卷调查等曾暗示游戏时间因大流行而“急剧增加”,但本次研究结果表明实际情况可能与那些调查结果不同。此外,研究还表明游戏游玩时间的长短并不会对幸福感产生显著差异。关于这一点,团队推测,比起游玩时间,“游戏体验的质量”可能更为重要。

游戏体验才是关键!研究表明游戏时长与幸福感弱相关

论文列出的游戏游玩时间与幸福感相关性的森林图

基于这些结果,研究团队认为,作为业余爱好的游戏似乎不会产生负面影响,因此游戏有可能作为一种“健康的休闲活动”被逐渐接受。不过,他们也指出,由于COVID-19是全球性大流行,缺乏未受疫情影响地区的个人为对象的研究。此外,由于调查地区和调查对象年龄层存在差异等因素,在阐明游戏时间与幸福感的因果关系方面存在局限性。研究团队表示,需要从不同角度进行研究,并以更多样化的人群为研究对象。

顺便一提,过去也曾发表过一些针对特定游戏类型与心理健康关系的研究。纵观这些先行研究,正如本次论文所暗示的那样,影响心理健康的或许并非游戏游玩时间,而是“游玩体验”。

相关新闻

《剑星》PC版新服装截图 女主穿性感旗袍展示好身材

《剑星》PC版将于6月12日发售,将新增25套新服装。近日官方分享了全新服装“Aqua Pearl”高清截图,性感旗袍搭配吊带黑丝,展示完美好身材。官方还分享了渡鸦和伊芙温情互动的高清截图。开发团队

2026-04-12 05:45:03

《上古卷轴4:重制版》玩家曾赌咒48小时内发售剃光头发赠给陶德

B社突然一发核弹将玩家们全部炸懵圈,《上古卷轴4:重制版》公布即正式发售,之前有玩家在《上古卷轴4:重制版》透风时曾赌咒48小时内发售剃光头发赠给陶德,结果喜闻乐见,陶德算是给了玩家一个“完头”。·在

2026-04-12 03:15:03

人气爆棚! 《三角洲行动》7月平均日活突破2000万

知名国产FPS《三角洲行动》近日发文宣布7月平均日活跃用户数突破2000万,并发出全服福利,与玩家们一起分享这份喜悦。现在上线登陆《三角洲行动》可领取零号大坝藏宝图补给包x1、泼天富贵军用科技补给包x

2026-04-12 02:15:03

《真人快打遗产收藏》10月30日发售 经典系列游戏集结

Digital Eclipse工作室制作并发行,经典系列游戏集结《真人快打遗产收藏》数字版将于10月30日发售,登陆PC(Steam)/PS5/PS4/Xbox Series X|S/Xbox One

2026-04-12 01:15:03

《荒原先驱》Steam 愿望单突破 30 万 试玩斩获 Steam 新品节最受欢迎前十

GFA Games 今日宣布,其备受期待的末日 MMO 第一人称射击游戏《荒原先驱(PIONER)》在 Steam 平台的愿望单数量已突破 30 万!这一里程碑消息通过工作室官方社交媒体对外公布。与

2026-04-12 00:15:03

《羊蹄山之魂》媒体评分9月25日晚9点解禁

《羊蹄山之魂》媒体评测将于北京时间9月25日(周四)晚9点解禁,前作《对马岛之鬼》获得IGN 9分好评。在上个月的科隆展上,官方宣布,《羊蹄山之魂》奇谈模式DLC将于2026年免费推出。奇谭模式是《羊

2026-04-11 23:30:03